f-long.com
ステージ5
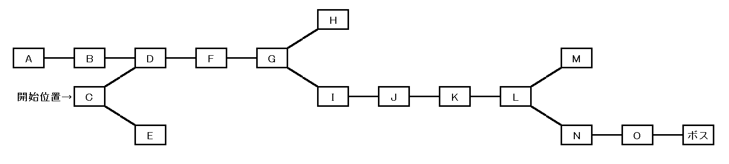
基地マップ
通路 敵・トラップ 備考
A 1. 白忍者
2. レーザー砲台
B 1. 白魔導士 * 2
2. 白魔導士 * 2
C 1. 炎トラップ
2. グレネードアーミー
開始位置
D 1. スーパーアマゾネス
2. 雪女
E 1. トゲ床 + 上下リフト
2. トゲ床 + 上下リフト + アマゾネス * 2
E回復
F 1. ヨガ
2. トゲ床 + リフト
3. マシンガンギャング
E回復
G 1. マシンガンギャング
2. トゲ床 + 点滅足場
3. グレネードアーミー + マシンガンギャング
H 1. 左右リフト + ギャング
2. 雪女
E回復
通路 特徴 備考
I 1. マシンガンギャング
2. スーパーアマゾネス + ドラゴン
3. 左からマシンガンギャング
L回復
J 1. ヨガ + トゲ床 + 点滅足場 + 上下リフト
K 1. 白魔導士 + ロボット * 2
2. 白魔導士
L 1. 黒魔導士
2. 上下リフト
M 1. ドラキュラ * 2 + 雪女
2. ドラゴン
L回復
N 1. ミサイルアーミー
2. 三段通路
3. ホッパー
O 1. 赤忍者
2. 炎トラップ
3. 赤忍者
E回復
基地で鍵を入手してからボス部屋へ
【C】から始まります。
まずは【A】へ進み、鍵を入手しましょう。
あとはひたすら右へ進んでボス部屋へ向かいます。
途中、回復アイテムを手に入れることもできるので必要に応じて補給しながら進みましょう。
ボス
画面上を飛び回ります、弾は出しません。
安全地帯は無いので相手の動きを見て立ち位置をかえつつ、積極的に弱点の頭部を狙いましょう。
ダメージレースになりやすいので、ライフ優位を保つように意識しましょう。